EJERCICIOS RESUELTOS - Polinomios
Polinomios - Matemáticas 4º ESO
Efectúa usando la división tradicional de polinomios:
![]()
Opera las siguientes expresiones:
–
– 
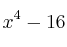
Factoriza el polinomio ![]()
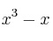
Factoriza el polinomio ![]()
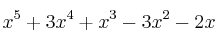
Factoriza el polinomio ![]()
Usa las identidades notables para factorizar los siguientes polinomios:
–
–
–
– ![]()
Halla las raíces y factores del polinomio
Matemáticas IES