EJERCICIOS RESUELTOS - Inecuaciones
Inecuaciones - 1º Bachillerato de Ciencias
Resuelve la inecuación ![]()
Resuelve la inecuación

Resuelve la inecuación ![]()
Sabemos que la fabricación de un envase tetra brik emite 62 gramos de
y que conducir un coche durante 1 km emite 211 gramos de
. Plantea y resuelve una inecuación para saber cuántos tetra brik es necesario fabricar para superar el consumo de
producido por la conducción durante 50 km de un coche.
Resuelve la inecuación ![]()
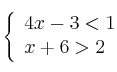
Resuelve el sistema de inecuaciones:

Resuelve el sistema de ecuaciones:

Matemáticas IES
