EJERCICIOS RESUELTOS - Circunferencia

Circunferencia - Matemáticas 4º ESO

Halla el centro y el radio de una circunferencia de ecuación 36x^2 + 36y^2-36x+24y-23 = 0


Determine la ecuación de la circunferencia de centro P(-1,3) que pasa por el punto Q(-4,7). Halle los puntos de corte de dicha circunferencia con el eje OX


Halla la ecuación de la circunferencia que pasa por los puntos O(0,0) , A(1,3) y B(-2, -1)


Halla la ecuación de la circunferencia sabiendo que:

 Su centro es (3,5) y su radio es 5
 Su centro es (-4,-7) y su radio es 8


Halla la posición relativa de la recta 2x+y-12=0 y la circunferencia x^2+y^2-4x+2y+2=0


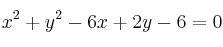
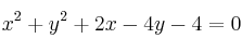
Halla la posición relativa de las circunferencia x^2+y^2-6x+2y-6=0 y x^2+y^2+2x-4y-4=0


1º BACH. CIENCIAS 1º BACH. SOC. 1º ESO 2º BACH. CIENCIAS 2º BACH. SOC. 2º ESO 3º ESO 4º ESO