Circunferencia
Halla el centro y el radio de una circunferencia de ecuación ![]()
SOLUCIÓN:
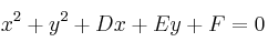
En la ecuación general de la circunferencia
![]()
se puede obtener centro (a,b) y radio r con estas relaciones:
![]()
![]()
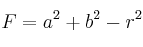
![]()
Para ello, los coeficientes de
e
deben valer 1.
En este ejercicio
valen 36,
entonces debemos dividir todo por 36
![]()
![]()
![]()
Ya tenemos la ecuación en «forma normal» y podemos aplicar las relaciones anteriores:
![]()
![]()

![]()
Por tanto:
– el centro es
– el radio es 1
Matemáticas IES