Ecuaciones de la circunferencia
La circunferencia es el lugar geométrico de los puntos que están a la misma distancia (r) de un punto (C) llamado centro.
A esa distancia (r) le llamamos radio.
Ecuación canónica de la circunferencia
Vamos a deducir la ecuación de la circunferencia.
Dibujamos una circunferencia de centro
y radio
.
Dibujamos un punto cualquiera
de la circunferencia
Ecuación de la circunferencia
Deducción de la ecuación de una circunferencia
En el triángulo rectángulo de la imagen aplicamos Pitágoras
![]()
Es la ecuación canónica (o reducida) de la circunferencia de centro (a,b) y radio r
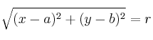
Otra forma de deducir la ecuación de la circunferencia es mediante distancias:
![]()


![]()
Ecuación general de la circunferencia
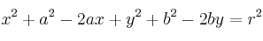
A partir de la ecuación canónica, si quitamos paréntesis y ordenamos la expresión, obtendríamos:
![]()
![]()
![]()
Si hacemos los cambios:
![]()
![]()
![]()
podemos expresarla como:
![]()
lo que se conoce como ecuación general de la circunferencia