EJERCICIOS RESUELTOS - Fracciones
Matemáticas 2º ESO - Fracciones
Comprueba si las siguientes fracciones son equivalentes:
y 
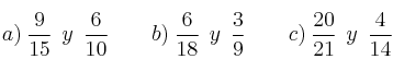
Comprueba si los siguientes pares de fracciones son equivalentes:

Calcula y simplifica:
– a)
– b) 
Calcula y simplifica:
– a)
– b) 
Calcula y simplifica:
– a)
– b) 
Calcula y simplifica:
–
– 
Calcula y simplifica:
–
– 
Calcula y simplifica:
–
– 
Calcula y simplifica:
–
– 
Calcula y simplifica:
–
– 