EJERCICIOS RESUELTOS - Sistemas de Ecuaciones
Sistemas de Ecuaciones - 1º Bachillerato de Ciencias
El padre, la madre y su hija están reunidos. La hija preguntó por la edad de su madre y su padre le dijo: Nuestras 3 edades suman 60 años. Como yo soy 6 veces más viejo de lo que tú eres ahora, puede decirse que cuando sea el doble de viejo que tú, nuestras 3 edades sumadas será el doble de lo que suman ahora. ¿Qué edad tiene la madre?
Para la fabricación de un envase de tetra Brik modelo A se emiten 62 gramos de
y para la fabricación de otro envase del modelo B se emiten 76 gramos de
. Sabiendo que se han fabricado en total 240 envases, que han emitido 16700 gramos de
, ¿Cuántos envases de cada tipo se han fabricado?
Una empresa de transportes gestiona una flota de 60 camiones de tres modelos diferentes. Los mayores transportan una media diaria de 15000 kg. y recorren diariamente una media de 400 kilómetros. Los medianos transportan diariamente una media de 10000 kilogramos y recorren 300 kilómetros. Los pequeños transportan diariamente 5000 kilogramos y recorren 100 km. de media. Diariamente los camiones de la empresa transportan un total de 475 toneladas y recorren 12500 km. entre todos. ¿Cuántos camiones gestiona la empresa de cada modelo?
Plantea un sistema de dos ecuaciones con dos incógnitas que no tenga solución, y para demostrarlo haz su representación gráfica.
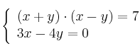
Resuelve el sistema de ecuaciones:

Resuelve el sistema de ecuaciones:

Resuelve el sistema de ecuaciones:

Resuelve por el método de Gauss el sistema de ecuaciones:

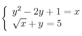
Resuelve el sistema de ecuaciones:

- 0
- 10
Matemáticas IES
