Problemas resueltos con sistemas 3x3
Una empresa de transportes gestiona una flota de 60 camiones de tres modelos diferentes. Los mayores transportan una media diaria de 15000 kg. y recorren diariamente una media de 400 kilómetros. Los medianos transportan diariamente una media de 10000 kilogramos y recorren 300 kilómetros. Los pequeños transportan diariamente 5000 kilogramos y recorren 100 km. de media. Diariamente los camiones de la empresa transportan un total de 475 toneladas y recorren 12500 km. entre todos. ¿Cuántos camiones gestiona la empresa de cada modelo?
SOLUCIÓN:
El primer paso es hacer una lectura rápida del problema (sin tomar datos) y averiguar lo que nos están preguntando.
¿Cuántos camiones de cada modelo?
El segundo paso es asignar incógnitas a los datos (desconocidos) que nos piden
– camiones grandes
– camiones medianos
– camiones pequeños ![]()
Tercer paso: Dado que tenemos 3 incógnitas, debemos encontrar en el enunciado tres "datos o expresiones" que nos permitan crear tres ecuaciones, de forma que podamos construir un sistema de 3 ecuaciones con 3 incógnitas.
En este problema concreto sería conveniente expresar todos los datos en una tabla que nos facilite su lectura:
| Tipo de camión | Nº de camiones | kg diarios | km diarios |
| Grandes | x | 15000 | 400 |
| Medianos | y | 10000 | 300 |
| Pequeños | z | 5000 | 100 |
| TOTAL | 60 | 475000 | 12500 |
Con el dato "60 camiones" formamos la primera ecuación:
![]()
Entre todos transportan 475 toneladas (475000 kg) por tanto
![]()
Entre todos hacen 12500 km por tanto:
![]()
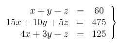
Tenemos ya creado un sistema de 3 ecuaciones con 3 incógnitas:

Antes de empezar a resolver el sistema debemos simplificar las ecuaciones (pues observamos que en las ecuaciones segunda y tercera acaban en ceros todos los términos).
En la segunda ecuación podemos dividir por 1000 (eliminar 3 ceros) y en la tercera podemos dividir por 100 (eliminar dos ceros).
Nos quedaría:

Aún podemos simplificar más la segunda ecuación si nos damos cuenta que todos los términos son múltiplos de 5. Podemos dividir entre 5 todos los términos de esa segunda ecuación y quedaría:

Resolvemos el sistema por cualquiera de los métodos conocidos. En este caso lo voy a resolver por sustitución:
Despejar una incógnita en una ecuación y sustituir por su valor en el resto de ecuaciones
Voy a despejar "z" en la 1ª ecuación

Ahora sustituimos en las otras dos ecuaciones:

Es un sistema de 2 ecuaciones con 2 incógnitas en el que debemos agrupar términos semejantes y ordenarlo, antes de resolverlo

Resolvemos por sustitución

![]()
![]()
![]()



Ahora calculamos "z" que la teníamos despejada al principio
![]()

Por tanto las soluciones del sistema son:

Tiene 5 camiones grandes, 25 camiones medianos y 30 camiones pequeños
Matemáticas IES