EJERCICIOS RESUELTOS - Ecuaciones Exponenciales y Logarítmicas
Ecuaciones Exponenciales y Logarítmicas - 1º Bach. Ciencias
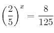
Resuelve la ecuación: ![]()
Resuelve la ecuación 
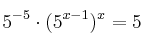
Resuelve la ecuación ![]()
Resuelve la ecuación

Resuelve la ecuación

Resuelve la ecuación

Resuelve la ecuación:

Resuelve la ecuación:
![]()
Resuelve la ecuación:
![]()
Resuelve la ecuación
![]()
Más páginas de Ejercicios
- 0
- 10
Matemáticas IES