Ecuaciones Exponenciales

, por dani

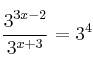
Resuelve la ecuación
\frac{3^{3x-2}}{3^{x+3}} = 81

SOLUCIÓN:

\frac{3^{3x-2}}{3^{x+3}} = 81


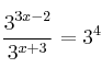
Se trata de una ecuación exponencial, entonces debemos conseguir potencias de la misma base:

\frac{3^{3x-2}}{3^{x+3}} = 3^4


3^{3x-2-(x+3)} = 3^4


3^{2x-5} = 3^4


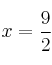
2x-5 = 4


2x = 9


x = \frac{9}{2}