Ecuaciones Exponenciales

, por dani

Resuelve la ecuación
\sqrt{7^x} = \frac{1}{49}

SOLUCIÓN:

\sqrt{7^x} = \frac{1}{49}


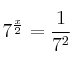
7^{\frac{x}{2}} = \frac{1}{7^2}


7^{\frac{x}{2}} = 7^{-2}


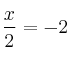
\frac{x}{2}}= -2


\fbox{x= -4}