División de Polinomios: Polinomio entre Binomio
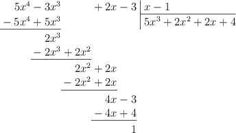
Efectúa usando la división tradicional de polinomios:
![]()
SOLUCIÓN:
Para hacer la división clásica de polinomios puedes seguir las siguientes instrucciones:
Cociente de polinomios
![\polylongdiv[style=D]{5x^4-3x^3+2x-3}{x-1} \polylongdiv[style=D]{5x^4-3x^3+2x-3}{x-1}](local/cache-vignettes/L344xH194/67346ef26fc8d44765471c7dab8a29c0-e50ad.png?1688037430)
Efectúa usando la división tradicional de polinomios:
![]()
SOLUCIÓN:
Para hacer la división clásica de polinomios puedes seguir las siguientes instrucciones:
Cociente de polinomios
![\polylongdiv[style=D]{5x^4-3x^3+2x-3}{x-1} \polylongdiv[style=D]{5x^4-3x^3+2x-3}{x-1}](local/cache-vignettes/L344xH194/67346ef26fc8d44765471c7dab8a29c0-e50ad.png?1688037430)