División de Polinomios

, por dani

Efectúa la siguiente división de polinomios:

(6x^4-x^3+3x^2+4x-5) : (3x^2-x+2)

SOLUCIÓN:

\polylongdiv[style=D]{6x^4-x^3+3x^2+4x-5}{3x^2-x+2}

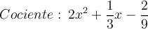
Cociente: \: 2x^2+\frac{1}{3}x-\frac{2}{9}
Resto: \: \frac{28}{9}x-\frac{41}{9}