Ejercicio multiplicar y dividir fracciones algebraicas

, por dani

Opera las siguientes expresiones:
 \frac{2a^2}{5b^2} \cdot \frac{15b}{8a^4}
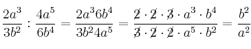
 \frac{2a^3}{3b^2} : \frac{4a^5}{6b^4}

SOLUCIÓN:

\frac{2a^2}{5b^2} \cdot \frac{15b}{8a^4} = \frac{2a^2 \cdot 15b}{5b^2 \cdot 8a^4} =\frac{\cancel{2} \cdot 3 \cdot \cancel{5} \cdot \cancel{a^2} \cdot \cancel{b}}{\cancel{5} \cdot \cancel{2} \cdot 2 \cdot 2 \cdot b^{\cancel{2}} \cdot \cancel{a^2} \cdot a^2} = \frac{3}{4ba^2}

\frac{2a^3}{3b^2} : \frac{4a^5}{6b^4}= \frac{2a^3 6b^4}{3b^2 4a^5}=\frac{\cancel{2} \cdot \cancel{2} \cdot \cancel{3} \cdot a^3 \cdot b^4}{\cancel{3} \cdot \cancel{2} \cdot \cancel{2} \cdot a^5 \cdot b^2}= \frac{b^2}{a^2}