EJERCICIOS RESUELTOS - Ecuaciones
Resuelve la ecuación: 
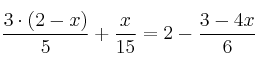
Resuelve la ecuación:

Resuelve la ecuación: 
Resuelve la ecuación: 
Resuelve la ecuación: 
Resuelve la ecuación: 
Resuelve la ecuación: 
Resuelve la ecuación: 
Resuelve la ecuación: 
Resuelve la ecuación: 
1º BACH. CIENCIAS
1º BACH. SOC.
1º ESO
2º BACH. CIENCIAS
2º BACH. SOC.
2º ESO
3º ESO
4º ESO