ecuaciones grado2

, por dani

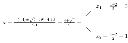
Resuelve la ecuación:  x^2-4x+3=0

SOLUCIÓN:

x=1 ; x=3

\begin{array}{ccc}
 & & x_1 = \frac{4+2}{2}=3
\\ & \nearrow &
\\ x=\frac{-(-4) \pm \sqrt{(-4)^2 -4 \cdot 1 \cdot 3}}{2 \cdot 1}= \frac{4 \pm \sqrt{4}}{2}=& &
\\ & \searrow &
\\ & & x_2 = \frac{4-2}{2}=1
\end{array}