ecuaciones grado2 incompleta

, por dani

Resuelve la ecuación:  4x^2-25=0

SOLUCIÓN:

 4x^2-25=0
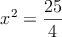
 4x^2=25
 x^2=\frac{25}{4}
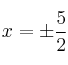
 x=\pm \sqrt{\frac{25}{4}} =\pm \frac{\sqrt{25}}{\sqrt{4}}

x=\pm \frac{5}{2}