Navega sin publicidad Regístrate GRATIS

ecuaciones grado1 paréntesis

💬 3

  ecuacionesecuaciones de primer gradoecuaciones_con_paréntesisEjercicios_Resueltos

Resuelve la ecuación: 4(2x-1)+15=6-2(-5+x)

SOLUCIÓN

Resolvemos la ecuación:

4(2x-1)+15=6-2(-5+x)

Eliminamos los paréntesis multiplicando por el factor que hay delante (o detrás):

8x-4+15 = 6+10-2x

Distinguimos los términos con "x" y los términos sin "x"

\color[RGB]{192,0,0}{+8x}\color[RGB]{0,0,192}{-4}\color[RGB]{0,0,192}{+15} = \color[RGB]{0,0,192}{+6}\color[RGB]{0,0,192}{+10}\color[RGB]{192,0,0}{-2x}

Colocamos a un lado los que llevan "x" y al otro los números

8x+2x = 4-15+6+10

Agrupamos términos

10x = 5

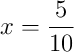
Despejamos "x"

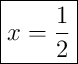
x = \frac{5}{10}

\boxed{x = \frac{1}{2}}

Comentar el ejercicio

Mensajes