EJERCICIOS RESUELTOS - Ecuaciones
Ecuaciones - 1º Bachillerato de Ciencias
Resuelve la ecuación:

Resuelve las siguientes ecuaciones:
–
– 
Resuelve la ecuación 
Resuelve la ecuación 
Resuelve la ecuación 
calcula
para que la ecuación
no tenga soluciones reales
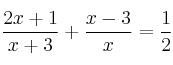
Resuelve la ecuación:
![]()
Resuelve la ecuación:
![]()
Resuelve la ecuación:
![]()
Más páginas de Ejercicios
- 0
- 10
Matemáticas IES