Ecuaciones racionales 3184

, por dani

Resuelve la ecuación \frac{x+1}{x-1} - 1 = \frac{1}{x}

SOLUCIÓN:

\frac{x+1}{x-1} - 1 = \frac{1}{x}


Ponemos denominador 1 a los que no tienen
Se trata de una ecuación racional

\frac{x+1}{x-1} - \frac{1}{1} = \frac{1}{x}


Hacemos m.c.m. de los denominadores
m.c.m. \left( (x-1), x \right) = (x-1) \cdot x

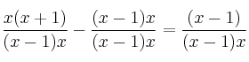
\frac{x(x+1)}{(x-1)x} - \frac{(x-1)x}{(x-1)x} = \frac{(x-1)}{(x-1)x}


Ahora ya podemos quitar denominadores

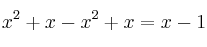
x(x+1) - (x-1)x = (x-1)


x^2+x -x^2 +x  = x-1


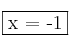
2x  = x-1


\fbox{x = -1}