Ecuaciones racionales
En las ecuaciones racionales la incógnita aparece en el denominador.
Para resolverlas hacemos mínimo común múltiplo (igual que en las ecuaciones con fracciones) para eliminar denominadores. Es importante comprobar las soluciones en este tipo de ecuaciones.
Veamos un ejemplo:

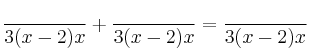
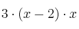
m.c.m. de los denominadores: ![]()
Ponemos el mcm como denominador en todas las fracciones

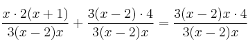
Dividimos entre denominador y multiplicamos por numerador

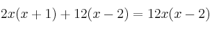
Eliminamos denominadores
![]()
Hacemos operaciones
![]()
Quitamos paréntesis
![]()
Ordenamos
![]()
Resolvemos la ecuación de segundo grado y las soluciones serían:
y ![]()
Comprobamos las soluciones y ambas son correctas
Solución
y 