Reglas para resolver ecuaciones
Regla de la suma (trasposición de términos)
Regla de la suma: Si a los dos miembros de una ecuación le sumamos la misma expresión algebraica se obtiene una ecuación equivalente
Ejemplo.
podemos sumar
a ambos miembros:
así obtenemos:
En la práctica la regla de la suma se conoce como trasposición de términos: Para cambiar de miembro a cualquier término, tan solo debemos cambiarle el signo.
Ejemplo:
Los términos
y
podemos pasarlos al segundo miembro (cambiándole el signo)
Así la ecuación quedaría:
![]()
Regla del producto (despejar la incógnita)
Regla del producto: Si multiplicamos o dividimos (por un mismo número) los dos miembros de una ecuación. resulta otra ecuación equivalente.
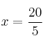
Ejemplo:
Si dividimos ambos por
, obtenemos:
así obtenemos:
![]()
En la práctica: lo que está multiplicando, pasa al otro miembro dividiendo y viceversa (lo que está dividiendo pasa multiplicando). Se hace siempre con el objetivo de despejar la incógnita
Ejemplo:
Queremos despejar la
(dejarla sola).
Parar ello, el
que está multiplicando, lo pasamos al otro miembro dividiendo:
![]()
INTRODUCE TU PROPIO EJEMPLO (verás todas las explicaciones paso a paso)
Mensajes
24 de abril de 2014, 21:17, por Laihala
Gracias por sus apuntes me han servido mucho, espero que mi pregunta este bien ubicada.
Esta ecuacion es correcta segun mi libro
5/x-7=3/x-2
5(x-2)=3(x-7)
5x-10=3x-21
5x-3x=-21+10
2x=-11
x=-11/2
La siguiente fue la que me confundio.Porque en esta ocasion es el 8 el que se queda y no el 4x, no es negativo el resultado final?
4/x-3=5/x-2
4(x-2)=5(x-3)
4x-8=5x-15
– 8+15=5x-4x
x=7
28 de enero de 2016, 17:32, por emilio
no nomas quita los parentesis no sirben de nada
25 de abril de 2016, 19:23, por Jorge alberto
8+15=5x-4x
Ahi esta el error, en lugar de pasar el 4x debiste pasar el 8 para que restando el -15 te diera el numero negativo, bueno eso si no me falla ña memoria, saludos
11 de julio de 2016, 11:30, por Sora-Sk8
no, el error está en que cuando se restan queda el signo del numero con mayor cantidad, por lo tanto esa operación está bien
23 de octubre de 2017, 20:46, por Marycarmen
si pasas 5x quedaria
4x-5x=-15+8
– x=-7
la incognita no puede quedar negativa y tendrias que multiplicar los dos terminos por menos y quedaria asi
– (-x)=-(-7)
x=7
4 de septiembre de 2016, 23:19, por Tomás
Gracias esto lo explico mejor que la escuela
18 de enero de 2019, 18:11, por Carlos Rafael
lo que me faltaba estoy en 1er año y necesito un profesor
14 de marzo de 2020, 14:19, por Fran
2 (x-4)-(1-x) = -2 (x+2)
14 de marzo de 2020, 19:00, por dani
Para proponer ejercicios debes usar el siguiente foro:
https://foro-dudas.gratis
4 de abril de 2021, 03:46, por Juli
– 12x+7>-3x-2