Número de soluciones de una ecuación de segundo grado
Una ecuación de segundo grado puede tener:
– dos soluciones
– una solución
– ninguna solución real
Los distintos casos que se pueden dar dependen del discriminante (la expresión que hay dentro de la raíz en la fórmula general)

![]()
– Si
soluciones
– Si
solución
– Si
soluciones reales
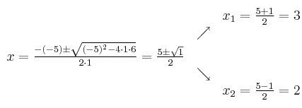
Ejemplo de 2 soluciones:
![]()

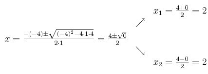
Ejemplo de 1 solución:
![]()

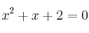
Ejemplo de 0 soluciones reales:
![]()

No tiene soluciones reales