Ecuaciones Racionales

, por dani

Resuelve la ecuación:
\frac{1}{x^2} - \frac{3}{4} = \frac{-1}{x}

SOLUCIÓN:

Recordemos el método para resolver ecuaciones racionales

\frac{1}{x^2} - \frac{3}{4} = \frac{-1}{x}


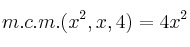
m.c.m.(x^2, x, 4) = 4x^2

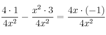
\frac{4 \cdot 1}{4x^2} - \frac{x^2 \cdot 3}{4x^2} = \frac{4x \cdot (-1)}{4x^2}


4-3x^2=-4x


-3x^2+4x+4=0


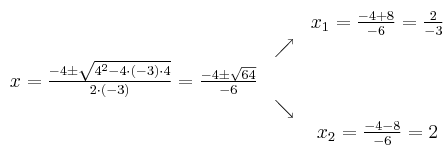
Resolvemos la ecuación de 2º grado


\begin{array}{ccc} & & x_1 = \frac{-4+8}{-6}=\frac{2}{-3}\\ & \nearrow &\\ x=\frac{-4\pm \sqrt{4^2-4 \cdot(-3)\cdot4}}{2 \cdot(-3)}=
 \frac{-4\pm \sqrt{64}}{-6}& &\\ & \searrow &\\& &x_2 = \frac{-4-8}{-6}=2\end{array}