Ecuaciones racionales 3190

, por dani

Resuelve la ecuación \frac{2x+1}{x+3} + \frac{x-3}{x} = \frac{1}{2}

SOLUCIÓN:

\frac{2x+1}{x+3} + \frac{x-3}{x} = \frac{1}{2}


m.c.m.(x+3, x, 2) = (x+3) \cdot x \cdot 2 = 2x(x+3)


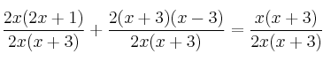
\frac{2x(2x+1)}{2x(x+3)} + \frac{2(x+3)(x-3)}{2x(x+3)} = \frac{x(x+3)}{2x(x+3)}


2x(2x+1) + 2(x+3)(x-3) = x(x+3)


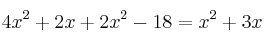
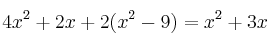
4x^2+2x + 2(x^2-9)=x^2+3x


4x^2+2x + 2x^2-18=x^2+3x


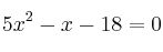
4x^2+2x + 2x^2-18-x^2-3x=0


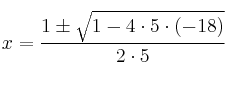
5x^2-x-18=0


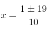
x = \frac{1 \pm \sqrt{1 -4 \cdot 5 \cdot (-18)}}{2 \cdot 5}


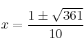
x = \frac{1 \pm \sqrt{361}}{10}


x = \frac{1 \pm 19}{10}

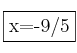
Soluciones\fbox{x=2} y \fbox{x=-9/5}