EJERCICIOS RESUELTOS - Ecuaciones
Ecuaciones - Matemáticas 4º ESO
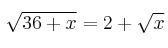
Resuelve la ecuación:

Resuelve la ecuación:

Resuelve la ecuación:

Resuelve la ecuación:

Resuelve la ecuación: 
Resuelve la ecuación 
Resuelve la ecuación 
Resuelve la ecuación: 
Resuelve la ecuación 
Resuelve la ecuación 