EJERCICIOS RESUELTOS - Ecuaciones
Resuelve la ecuación:

Resuelve la ecuación:

Resuelve la ecuación:

Resuelve la ecuación:

Resuelve la ecuación:

Resuelve la ecuación:

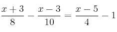
Resuelve la ecuación:

Resuelve la ecuación:

Resuelve la ecuación:

Resuelve la ecuación:

1º BACH. CIENCIAS
1º BACH. SOC.
1º ESO
2º BACH. CIENCIAS
2º BACH. SOC.
2º ESO
3º ESO
4º ESO