Ecuaciones de primer grado con denominadores 2984

, por dani

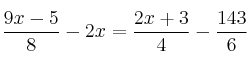
Resuelve la ecuación:

\frac{9x-5}{8} - 2x = \frac{2x+3}{4} -  \frac{143}{6}


SOLUCIÓN:

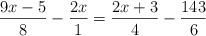
\frac{9x-5}{8} - \frac{2x}{1} = \frac{2x+3}{4} -  \frac{143}{6}

m.c.m.(8,4,6) = 24

\frac{3 \cdot (9x-5)}{24} - \frac{24 \cdot 2x}{24} = \frac{6 \cdot(2x+3)}{24} -  \frac{4 \cdot 143}{24}

3 \cdot (9x-5) - 24 \cdot 2x = 6 \cdot(2x+3) -  4 \cdot 143

27x-15 - 48x = 12x + 18 -   572

27x - 48x - 12x = 18 -   572 +15

-21x = -539 \longrightarrow x = \frac{-539}{-33} = \frac{49}{3}