Ecuaciones de primer grado con denominadores 2981

, por dani

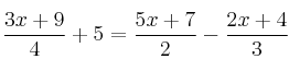
Resuelve la ecuación:

\frac{3x+9}{4}+5 = \frac{5x+7}{2} - \frac{2x+4}{3}


SOLUCIÓN:

\frac{3x+9}{4}+5 = \frac{5x+7}{2} - \frac{2x+4}{3}

m.c.m.(4,2,3)=12

\frac{3 \cdot (3x+9)}{12}+\frac{12 cdot 5}{12} = \frac{6 \cdot (5x+7)}{12} - \frac{4 \cdot (2x+4)}{12}

3 \cdot (3x+9)+12 cdot 5 = 6 \cdot (5x+7) - 4 \cdot (2x+4)

9x+27+60 = 30x + 42 - 8x-16

9x -30x + 8x =  42 -16 -27 -60

-13x =   -61 \longrightarrow \color{red}{x = \frac{61}{13}}