EJERCICIOS RESUELTOS - Funciones (I)
Funciones (I) - 1º Bachillerato de Ciencias
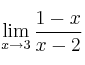
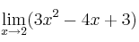
Calcula los siguientes límites de funciones:
–
–
–
– ![]()
Estudie la continuidad de la función 
Calcula los puntos de corte con los ejes de coordenadas de la función ![]()
Indica los puntos donde gráfica de la función
corta a los ejes de coordenadas
Matemáticas IES




