Calcular límite de una función

SOLUCIÓN
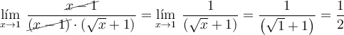
INDETERMINACIÓN
Para resolverla debemos intentar encontrar el factor (x-1)
En funciones irracionales se obtiene multiplicando y dividiendo por la expresión conjugada
![]()


INDETERMINACIÓN
Para resolverla debemos intentar encontrar el factor (x-1)
En funciones irracionales se obtiene multiplicando y dividiendo por la expresión conjugada
![]()
