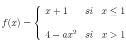
Calcular parámetro para que sea continua
Calcula el valor de
para que la siguiente función sea continua:

SOLUCIÓN:

Ambos trozos son funciones polinómicas y por tanto continuas en cualquier intervalo, independientemente de lo que valga a.
En el punto
, que separa ambos trozos, debemos aplicar la definición de continuidad en un punto
![]()
![]()
![]()
Para que sea continua en x=1 los tres resultados anteriores deben ser iguales.
Entonces ![]()
Matemáticas IES