EJERCICIOS RESUELTOS - Derivadas

Derivadas - 1º Bach. Ciencias

Calcula la derivada de la función y = \frac{(2x+3)^3}{(3x^2-2x+6)^2}


Calcula la derivada de la función y = \sqrt{\frac{1-x}{1+x}}


Calcula la derivada de las funciones:
 y = \log_2(x^2+1)
 y = Ln \left( \frac{1-x}{1+x}  \right)


Calcula la derivada de las funciones:
 y = sen \: x^4
 y = sen^4 \: (3x-1)
 y = \sqrt[4]{sen \: x}


Calcula la derivada de las funciones:
 y = sen \: \left( \frac{4}{x} \right)
 y = 4 \cdot sen \: x
 y = sen \: \left( \frac{x}{4}\right)


Calcula la derivada de la función
y = e^{3x} x^2


Calcula la derivada de las función
y = \frac{Ln \: x}{x}


Calcula la derivada de la función
y = 3 \cdot sen \: (x-2)


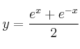
Calcula la derivada de las funciones:
 y = \frac{e^x+e^{-x}}{2}
 y = e^{2x} \cdot 3^{x^2}


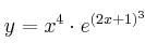
Calcula la derivada de las funciones:

 y = x \cdot e^{2x+1}
 y = x^4 \cdot e^{(2x+1)^3}


1º BACH. CIENCIAS 1º BACH. SOC. 1º ESO 2º BACH. CIENCIAS 2º BACH. SOC. 2º ESO 3º ESO 4º ESO