Derivadas Ejercicios

, por dani

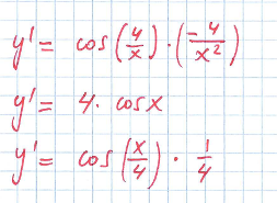
Calcula la derivada de las funciones:
 y = sen \: \left( \frac{4}{x} \right)
 y = 4 \cdot sen \: x
 y = sen \: \left( \frac{x}{4}\right)

SOLUCIÓN: