EJERCICIOS RESUELTOS - Funciones II
Funciones (conociendo Derivadas) - 1º Bach. Ciencias
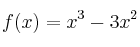
Realiza un estudio global (dominio, simetrías, corte con los ejes, asíntotas, monotonía, extremos y representación gráfica) de la función:
![]()
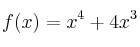
Realiza un estudio global (dominio, simetrías, corte con los ejes, asíntotas, monotonía, extremos y representación gráfica) de la función:
![]()
Halla las asíntotas de la función:

Halla los extremos relativos de la función:

Halla los extremos relativos de la función 
Estudia la monotonía de la función ![]()
Estudia la monotonía de la función ![]()
Disponemos de 48 metros de valla de alambre. Queremos cercar un rectángulo de superficie la mayor posible. ¿Cuáles serían las dimensiones del rectángulo?
Halla las asíntotas de la función:

Queremos construir una caja de cartón (sin tapadera) de base cuadrada. Disponemos de un cartón de 1 metro cuadrado y queremos saber las dimensiones de la caja para que su volumen sea el máximo posible.
a) Realiza un esquema de la caja asignando incógnitas a los datos desconocidos
b) Encuentra la expresión que represente la superficie (4 lados + fondo) y la igualas a 1 (puesto que disponemos de 1 metro cuadrado de cartón)
c) Encuentra la función que exprese el volumen de la caja y exprésala con una sola variable
d) Encuentra un máximo a la función anterior e indica las medidas de la caja para que su volumen sea el mayor posible.
Matemáticas IES