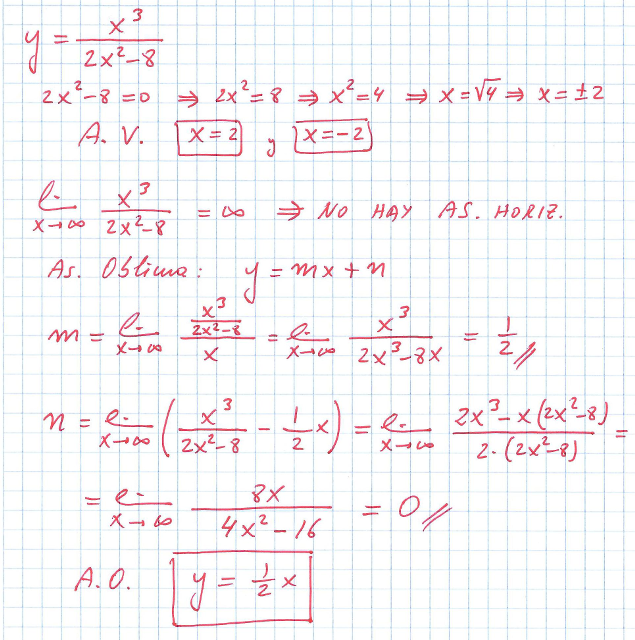
18 Hallar Asíntotas Miércoles 26 de marzo de 2008, por dani | funciones asíntotas Ejercicios_Resueltos Halla las asíntotas de la función: SOLUCIÓN: