Navega sin publicidad Regístrate GRATIS

Introducción al cálculo de límites (gráficamente)

funcioneslímites

Nos aproximamos al concepto de límite de manera gráfica

En la gráfica anterior podemos determinar los siguientes límites:

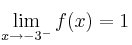
 \lim_{x\rightarrow -3^-} f(x) =1
 \lim_{x\rightarrow -3^+} f(x) = -1
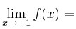
 \lim_{x\rightarrow -1} f(x) = No existe límite (los límites laterales no coinciden)
 \lim_{x\rightarrow 1} f(x) = 1
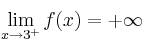
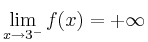
 \lim_{x\rightarrow 3^-} f(x) = +\infty
 \lim_{x\rightarrow 3^+} f(x) = +\infty
 \lim_{x\rightarrow 3} f(x) = +\infty (coinciden ambos límites laterales)
 \lim_{x\rightarrow -\infty} f(x) = -\infty
 \lim_{x\rightarrow +\infty} f(x) = +\infty
 \lim_{x\rightarrow 8} f(x) = -2

Comentar el artículo