Cálculo de límites de funciones racionales (I)
Cálculo de límites de funciones racionales cuando x tiende a un número
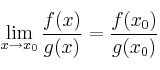
Si
y
son funciones polinómicas de cualquier grado, entonces:

Es decir, basta con sustituir
Podemos obtener tres tipos de resultados:
– Caso 1)
siendo
FIN
– Caso 2)
siendo
LÍMITES LATERALES
– Caso 3)
INDETERMINACIÓN
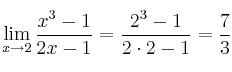
– En el caso 1 no habría ningún problema. Ya estaría el límite calculado. Veamos un ejemplo:

– En el casos 2 debemos estudiar los límites laterales.
– En el casos 3 obtendríamos una INDETERMINACIÓN. Eso significa una especie de atasco, por lo que debemos tomar otro camino para calcular el límite.