Suma y Resta de Monomios
Para poder sumar y restar monomios tienen que ser semejantes.
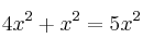
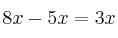
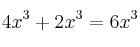
Si son semejantes, para sumarlos/restarlos basta con sumar/restar sus coeficientes y conservar la parte literal
Ejemplos:
–
–
–
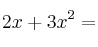
–
no son semejantes
–
no son semejantes
Mensajes
22 de noviembre de 2017, 22:28, por Elismene
Me gustó muchisimo
1ro de noviembre de 2019, 22:13, por Paloma
(3a)+(2b)-(6a)+(10a)-(8b)+(5a)=