Cociente de polinomios (I)
Cociente de polinomios.
Parte I - Polinomio entre monomio
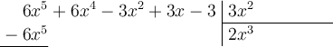
Hagamos la siguiente división:
![]()
– Ordenamos el dividendo en forma decreciente (de mayor a menor).
– Si faltase algún término dejamos espacio en blanco.
![\polylongdiv[style=D, stage=1]{6x^5+6x^4+9x^2-12x^2+3x-3}{3x^2} \polylongdiv[style=D, stage=1]{6x^5+6x^4+9x^2-12x^2+3x-3}{3x^2}](local/cache-TeX/740294358089497efd970da73b6ef274.png)
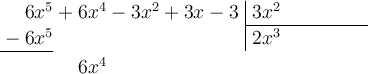
Dividimos el término de mayor grado del dividendo entre el divisor: ![]()
![\polylongdiv[style=D, stage=2]{6x^5+6x^4+9x^2-12x^2+3x-3}{3x^2} \polylongdiv[style=D, stage=2]{6x^5+6x^4+9x^2-12x^2+3x-3}{3x^2}](local/cache-TeX/023d4686bb5af20590af3a44e1d77e7d.png)
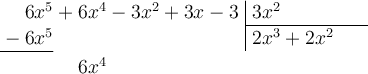
Multiplicamos el término obtenido
por el divisor y ponemos el resultado cambiado de signo bajo el dividendo
![\polylongdiv[style=D, stage=3]{6x^5+6x^4+9x^2-12x^2+3x-3}{3x^2} \polylongdiv[style=D, stage=3]{6x^5+6x^4+9x^2-12x^2+3x-3}{3x^2}](local/cache-TeX/2fcedf2f1e7a44a71b14c41aec67d5e8.png)
Sumamos. El primer término siempre se simplificará
![\polylongdiv[style=D, stage=4]{6x^5+6x^4+9x^2-12x^2+3x-3}{3x^2} \polylongdiv[style=D, stage=4]{6x^5+6x^4+9x^2-12x^2+3x-3}{3x^2}](local/cache-TeX/8eaf4f379c1f2d34d52539e74da3f31c.png)
Volvemos a repetir el proceso: dividimos el término de mayor grado
del nuevo dividendo entre el divisor
![\polylongdiv[style=D, stage=5]{6x^5+6x^4+9x^2-12x^2+3x-3}{3x^2} \polylongdiv[style=D, stage=5]{6x^5+6x^4+9x^2-12x^2+3x-3}{3x^2}](local/cache-TeX/5571959496d6c53eb85d8f54da90a861.png)
– Seguimos el proceso hasta que el grado del resto sea menor que el grado del divisor
![\polylongdiv[style=D]{6x^5+6x^4+9x^2-12x^2+3x-3}{3x^2} \polylongdiv[style=D]{6x^5+6x^4+9x^2-12x^2+3x-3}{3x^2}](local/cache-TeX/f9120d9f693dc954fbebbf93aaa8f3f1.png)
Cociente: ![]()
Resto: ![]()