Geometría en el Espacio
(103) ejercicios de Geometría en el Espacio
-
Halla la ecuación del plano que pasa por los puntos
,
y 
-
Halla dos puntos y dos vectores directores de la recta

-
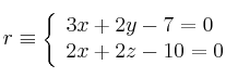
Halla dos puntos y dos vectores directores de la recta

-
Halla dos puntos y dos vectores directores de la recta

-
Halla dos puntos y dos vectores directores de la recta

