Geometría en el Espacio
(103) ejercicios de Geometría en el Espacio
-
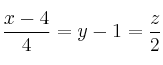
Se considera la recta
definida por
,
, y la recta
definida por 
– (a) Halla el valor de
para el que
y
son perpendiculares.
– (b) Deduce razonadamente si existe algún valor de
para el que
y
son paralelas. -
Considera los puntos
,
,
y
.– (a) Calcula la ecuación del plano
que contiene a los puntos
,
y
– (b) Halla el punto simétrico de
respecto del plano
. -
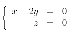
Considera el punto
, la recta
definida por
y la recta
definida por
.– (a) Estudia la posición relativa de
y
– (b) Halla la ecuación del plano que pasando por
es paralelo a
y
. -
Considera los puntos:
,
,
y 
Halla
y
sabiendo que la recta que pasa por
y
corta perpendicularmente a la recta que pasa por
y 
-
Halla la ecuación del plano que pasa por el punto
, es perpendicular al plano
y es paralelo a la recta



