Ejercicio: Plano que pasa por 3 puntos
Halla la ecuación del plano que pasa por los puntos
,
y ![]()
SOLUCIÓN
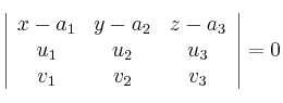
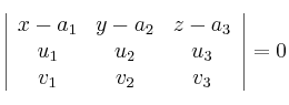
Usaremos la ecuación general del plano

Necesitamos un punto y dos vectores.
Punto:
Vector 1:
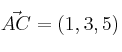
Vector 2: 
Entonces la ecuación será:

Resolviendo el determinante y simplificando obtenemos:
![]()