Integrales polinómicas. Primeras propiedades de las integrales
Las integrales inmediatas se resuelven de manera fácil aplicando fórmulas.
Las más fáciles son las polinómicas
– Integral de una constante

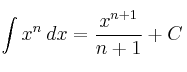
– Integral de

– Integral de una suma

– Integral de una constate por una función

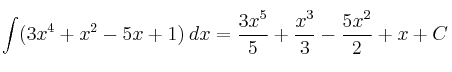
Como ejemplo de todo lo anterior, calculamos la integral de un polinomio:

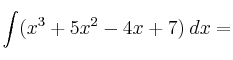
– Ejemplo 2:
