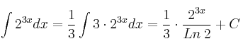
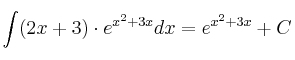
Integrales Inmediatas tipo Exponencial integralesintegrales inmediatas Las resolveremos basándonos en la siguiente fórmula: Ejemplos: – – Observe que Comentar el artículo