Integrales Inmediatas. Potencia de una función
De manera similar a la fórmula
, tenemos la fórmula para una función elevada a un número:
![]()
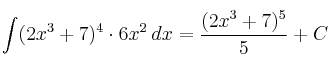
– Ejemplo 1

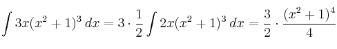
– Ejemplo 2

– Observe que hemos multiplicado por
para conseguir la fórmula, y por
para que no se altere la expresión.
– La fórmula no vale para
.