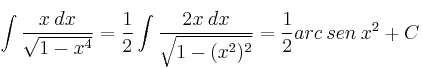
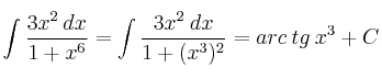
Integrales Inmediatas tipo arc sen y arc tg 💬 2 integralesintegrales inmediatas Dos nuevas fórmulas para integrales inmediatas: donde es una función Ejemplos: Comentar el artículo Mensajes 21 de septiembre de 2018, 01:35, por Diego En el ejemplo 1 se les faltó al final el 1/2 , no obstante que me haya dado cuenta significa que me esta sirviendo su servicio, muchas gracias. 24 de septiembre de 2018, 10:38, por dani Ya hemos puesto el 1/2 que faltaba. Gracias por su aportación
Mensajes
21 de septiembre de 2018, 01:35, por Diego
En el ejemplo 1 se les faltó al final el 1/2 , no obstante que me haya dado cuenta significa que me esta sirviendo su servicio, muchas gracias.
24 de septiembre de 2018, 10:38, por dani
Ya hemos puesto el 1/2 que faltaba.
Gracias por su aportación