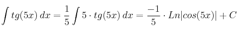
Integrales Inmediatas tipo Tangente integralesintegrales inmediatas La fórmula a usar es la siguiente Es una fórmula que debemos recordar cuando aparezcan tangentes. Ejemplos: – Comentar el artículo