Resumen de fórmulas (derivadas)
16 - Derivadas
Definición de Derivada
Interpretación geométrica de la derivada
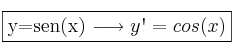
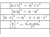
Resumen de fórmulas (derivadas)
Monotonía (crecimiento-decrecimiento) de una función
Extremos (máximos y mínimos) de una función
Curvatura (concavidad y convexidad) y puntos de inflexión
Regla de l’Hôpital (I)
L’Hôpital (II) : indeterminación 0 · infinito
L’Hôpital (III) : indeterminación infinito elevado a cero
Matemáticas IES
![\begin{tabular}{|c|} \hline
[u+v]\textsc{\char13} = u\textsc{\char13}+v\textsc{\char13} \\ \hline
[a\cdot u]\textsc{\char13} =a \cdot u\textsc{\char13} \\ \hline
[u \cdot v]\textsc{\char13} = u\textsc{\char13}\cdot v + u\cdot v\textsc{\char13} \\ \hline
\left[ \frac{u}{v} \right]\textsc{\char13} = \frac{u\textsc{\char13}\cdot v - u\cdot v\textsc{\char13}}{v^2} \\ \hline
\end{tablar}
\begin{tabular}{|c|} \hline
[u+v]\textsc{\char13} = u\textsc{\char13}+v\textsc{\char13} \\ \hline
[a\cdot u]\textsc{\char13} =a \cdot u\textsc{\char13} \\ \hline
[u \cdot v]\textsc{\char13} = u\textsc{\char13}\cdot v + u\cdot v\textsc{\char13} \\ \hline
\left[ \frac{u}{v} \right]\textsc{\char13} = \frac{u\textsc{\char13}\cdot v - u\cdot v\textsc{\char13}}{v^2} \\ \hline
\end{tablar}](local/cache-vignettes/L208xH153/a53a0425a7009d8c02243b23da0daeb3-7807d.png?1688043381)















