Consideremos el siguiente límite

Función 1/x
LA función 1/x tiendo a +infinito cuando x se acerca a 0 por la derecha
matematicasies.com
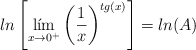
Llamamos "A" al límite y tomamos logaritmos

![ln \left[ \lim_{x \rightarrow 0^+} \left( \frac{1}{x} \right)^{tg(x)} \right] = ln(A) ln \left[ \lim_{x \rightarrow 0^+} \left( \frac{1}{x} \right)^{tg(x)} \right] = ln(A)](local/cache-vignettes/L196xH50/b1c7da9a109af8178eff4de676da0e58-d552b.png?1688134768)
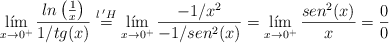
![\lim_{x \rightarrow 0^+} \left[ ln \left( \frac{1}{x} \right)^{tg(x)} \right] = ln(A) \lim_{x \rightarrow 0^+} \left[ ln \left( \frac{1}{x} \right)^{tg(x)} \right] = ln(A)](local/cache-vignettes/L196xH50/28c5cd2c0fc3ca905fde5f3bae46e56d-c03d1.png?1688134768)
![\lim_{x \rightarrow 0^+} \left[ (tg(x)) \cdot ln \left( \frac{1}{x} \right)\right] = ln(A) \lim_{x \rightarrow 0^+} \left[ (tg(x)) \cdot ln \left( \frac{1}{x} \right)\right] = ln(A)](local/cache-vignettes/L229xH40/5c671712211b14e42592928ba2f0cb31-e967e.png?1688134768)
Nos centramos en la expresión de la izquierda del signo igual
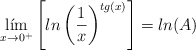
![\lim_{x \rightarrow 0^+} \left[ (tg(x)) \cdot ln \left( \frac{1}{x} \right)\right] = 0 \cdot (+\infty) \lim_{x \rightarrow 0^+} \left[ (tg(x)) \cdot ln \left( \frac{1}{x} \right)\right] = 0 \cdot (+\infty)](local/cache-vignettes/L251xH40/663c5f42dcde41dd55b4e824c43e2311-8d116.png?1688134768)
Función ln(1/x)
función logaritmo neperiano de 1/x
matematicasies.com
Se ha transformado en una indeterminación del tipo
que vimos cómo resolver en indeterminación 0 · infinito
![\lim_{x \rightarrow 0^+} \left[ (tg(x)) \cdot ln \left( \frac{1}{x} \right)\right] = \lim_{x \rightarrow 0^+} \frac{ln \left( \frac{1}{x} \right)}{1/tg(x)} = \frac{+\infty}{+\infty} \lim_{x \rightarrow 0^+} \left[ (tg(x)) \cdot ln \left( \frac{1}{x} \right)\right] = \lim_{x \rightarrow 0^+} \frac{ln \left( \frac{1}{x} \right)}{1/tg(x)} = \frac{+\infty}{+\infty}](local/cache-vignettes/L335xH43/652e27014ec7dcce6209f74a0d5a5481-7c449.png?1688134768)
Ahora podemos aplicar L’Hôpital

Volvemos a aplicar L’Hôpital

Entonces, como teníamos que:
![\lim_{x \rightarrow 0^+} \left[ (tg(x)) \cdot ln \left( \frac{1}{x} \right)\right] = ln(A) \lim_{x \rightarrow 0^+} \left[ (tg(x)) \cdot ln \left( \frac{1}{x} \right)\right] = ln(A)](local/cache-vignettes/L229xH40/5c671712211b14e42592928ba2f0cb31-e967e.png?1688134768)

Por tanto
